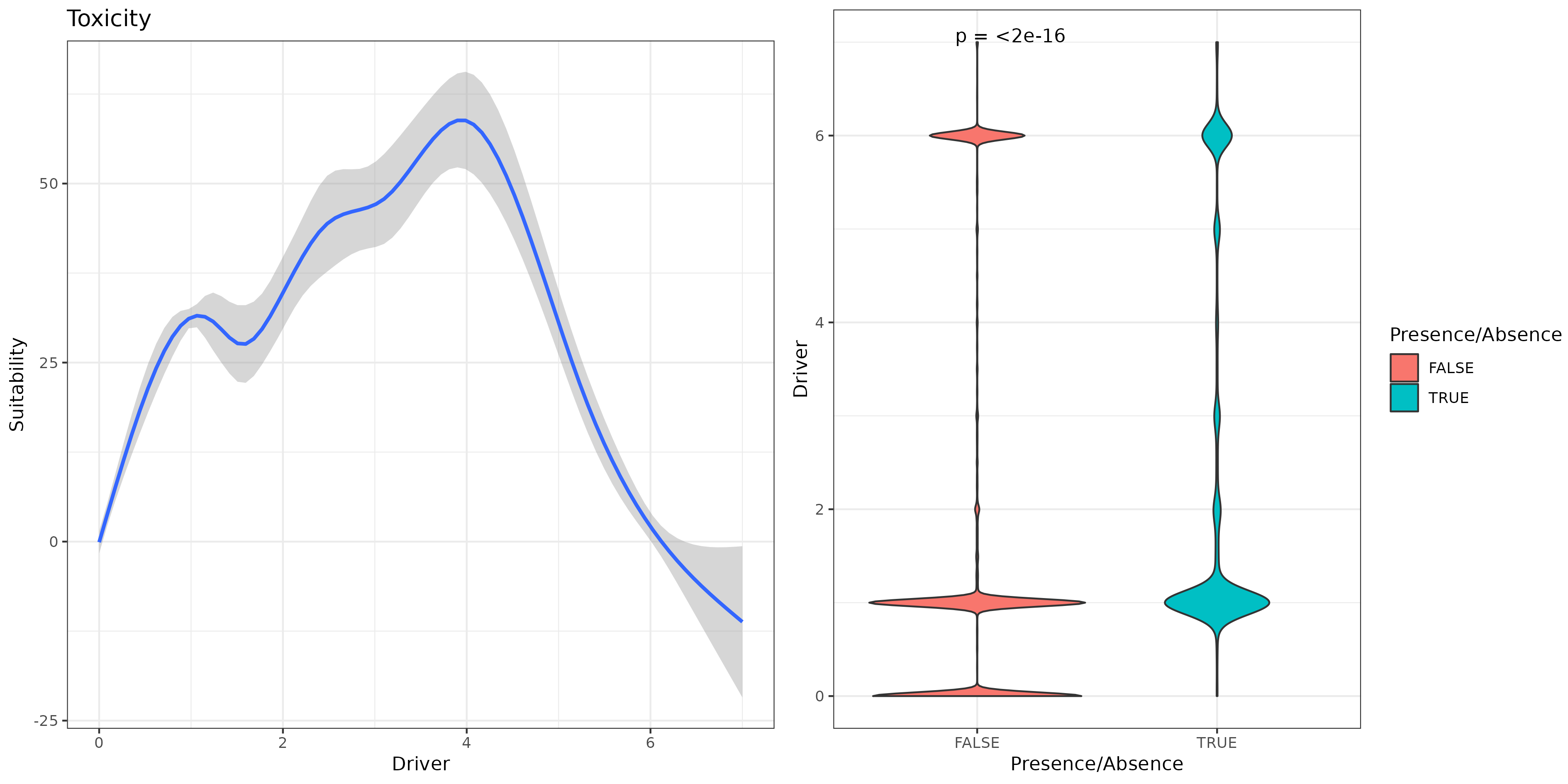
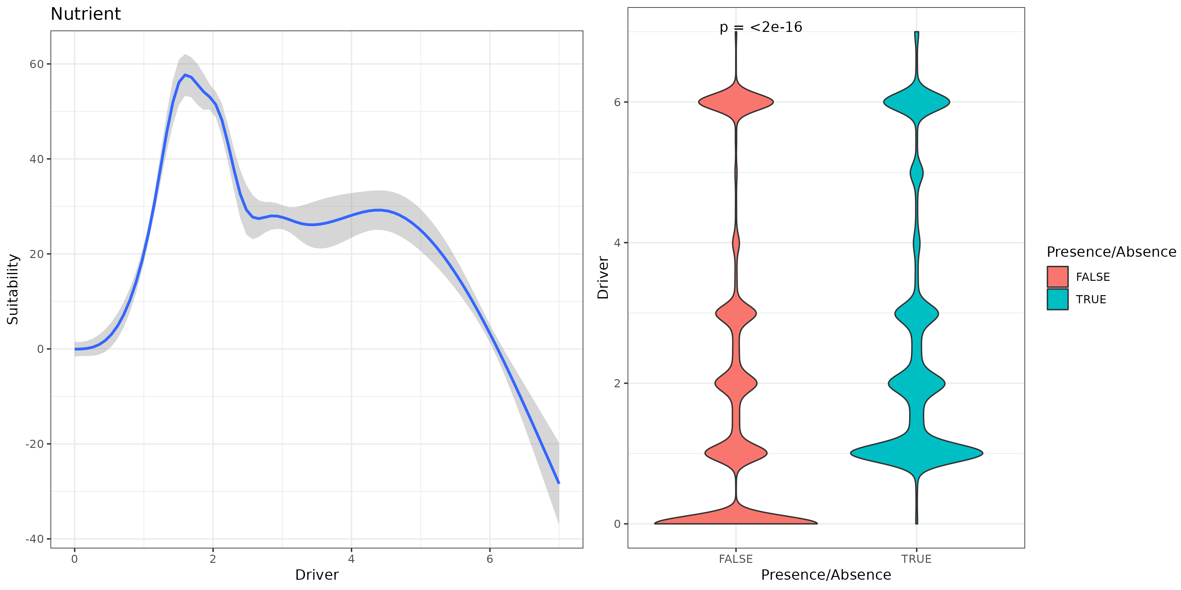
ModGP outputs for Lathyrus latifolius (Demo data)
Details
| PID: | cwr/23bcfd56f689a3823ae8 |
| Description: | ModGP Outputs |
| Keywords: | GBIF, Occurrence, Biodiversity, Observation, ModGP, SDM |
| Published: | 2024-08-21T14:44:43.805Z |
| Author(s): | Erik Kusch (https://orcid.org/0000-0002-4984-7646) |
| License: | https://creativecommons.org/licenses/by/4.0/ |
| Created at: | 23 Aug. 2024 11:57 UTC |
| Last modified: | 21 Aug. 2024 14:44 UTC |
Provenance
| Agent: | Erik Kusch (https://orcid.org/0000-0002-4984-7646) |
| Instrument |
ModGP
Resubmit workflow |
| Start Time | UTC |
| End Time | UTC |
Visualization
Loading ...